Vintage Workshop
Services for Brough Superior motorcycles and their contemporaries

V-twin crankshaft balancing last update: 7/2008

Nachdem nun bei uns im deutschsprachigen Raum eine Diskussion über dieses Thema auf die Beine gekommen ist, und ich gerne auch die Meinung derer hören würde, die sich da auskennen, aber mit dem Englischen (oder zumindest mit meinem Englisch :-)) nicht so zurecht kommen, hier das ganze noch mal auf Deutsch.  Außerdem habe ich, angeregt durch die Diskussion, noch ein paar kleinere Schnitzer in meinen Grafiken gefunden - so sind z.B. die Polardiagramme über Kopf gestanden. Also, jetzt geht's los:

Wenn ich mir eine Kurbelwelle bauen will, muß ich sie auch auswuchten. Und wenn ich die Kurbelwangen auf der CNC-Fräsmaschine bearbeite, wäre es schön, wenn ich meinen Wuchtfaktor vorher wüßte. Dann könnte ich das nämlich so bearbeiten, daß ich (zumindest wenn ich mich nirgends verrechne) die Welle gar nicht mehr zu wuchten brauche.

Dazu muß ich aber wissen, welchen Wuchtfaktor ich brauche!
Weiß das jemand von Euch dort draußen? Ich bin mir da zumindest immer noch nicht ganz sicher.

Auf dieser Seite soll es also um den theoretisch optimalen Wuchtfaktor für einen 50° V-twin gehen. Ich versuche, zu erklären, was ich herausgefunden habe, und meine Bitte ist: Wenn irgendjemand mehr weiß, oder in meinen Überlegungen irgendwelche Fehler sieht: laßt bitte von Euch hören!

Nach allem was ich bislang gehört habe, liegt der optimale Wuchtfaktor (WF) für einen Einzylindermotor zwischen 50% und 60%, je nach Länge des Pleuels und einigen anderen Einflußfaktoren. Aber was ist ein guter Wert für einen 50° V-twin?

Ich habe eine Anzahl von Leuten befragt und habe bisher eine ganze Menge verschiedener Werte gehört, wobei  35% und 65% die meist genannten Werte waren. Aber soll ich daraus einfach einen Mittelwert bilden??

Leider habe ich nie die Wuchtfaktoren der Motorräder gemessen, die ich fahre. Ich habe allerdings letzthin die Kurbelwellen von zwei zerlegten JAP-Motoren gemessen. Bei einem 680-er ohv habe ich einen WF von ca. 43% gefunden. Bei einer KTO JAP Kurbelwelle, die mir ein Freund dankenswerterweise ausgeliehen hat (s. Bild), habe ich einen WF zwischen 38% und 42% gefunden, je nachdem wie ich das Gewicht der (fehlenden) Kolben annahm. Ich bin hierbei von 460 bis  540 Gramm ausgegangen. Demnach scheint JAP einen WF von ca. 42% verwendet zu haben. Oder da gehörten andere Kolben dazu, oder das wurde mal verändert etc....

Oder sind die 65% vielleicht ganz einfach falsch, oder beruhen sie auf einer anderen Definition?  

Mein Verständnis des Wuchtfaktors ist folgendes:


Die Masse des Pleuels wird in einen rotierenden und einen hin- und hergehenden (translatorischen) Anteil aufgeteilt. Die rotierende Masse mrot besteht dem unteren Pleuellager und der Masse des unteren Pleuelendes, die man bestimmen kann, indem man das untere Ende auf ein Waage legt und das Pleuel am Kolbenbolzenauge möglicht reibungsfrei aufhängt, so daß der Schaft horizontal liegt.

Die hin- und hergehende Masse  mrec ist die Masse des Kolbens mit Ringen etc. plus die Masse des oberen Pleuelendes, die man wiederum analog zum vorher beschriebenen Vorgehen auswiegen kann.

Um nun einen WF von  X% zu erreichen, wuchtet man die Welle auf  100% der rotierenden plus  X% der hin- und hergehenden Masse mrec. Um das zu erreichen, fertigt man sich ein Hilfsgewicht, das auf den Hubzapfen gesteckt wird, dessen Masse  md = mrot + X%*mrec beträgt. Dann trimmt man die Wuchtmassen  mc an den Schwungscheiben so, daß das ganze im Gleichgewicht ist.

Bei einem V-twin müssen die Massen  mrot und mrec die entsprechenden Massen  beider Kolben und Pleuel umfassen - einverstanden?

So weit so gut. Da mir keiner der obengenannten Werte des Wuchtfaktors sehr vertrauenswürdig erschien, habe ich mich an eine theoretische Analyse des Problems gemacht: Ich habe die Bewegungsgleichungen für einen Motor aufgestellt, der aus den oben genannten Massenelementen besteht.

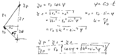
Die Abbildung rechts zeigt nur die elementare Gleichung für den Kolbenweg  yp als Funktion des Kurbelwinkels phi. Durch Klicken auf das Bild könnt ihr ein Blatt mit der vollständigen Ableitung der Kolbengeschwindigkeit und -beschleunigung downloaden. (Sorry für meine Handschrift, aber ich habe noch keine Zeit gefunden, das alles in den Formeleditor zu tippen!)

Als nächstes habe ich ein kleines Excel-sheet gemacht, in dem die während einer Kurbelwellenumdrehung auftretenden horizontalen und vertikalen Kraftkomponenten als Funktion des Kurbelwinkels berechnet werden.  

Ich habe das zunächst mal an Hand einiger einfacher Einzylinder-Testfälle geprüft, um zu überprüfen, ob da etwas vernünftiges herauskommt.

Ich denke, das war der Fall, aber schauen wir uns das mal an. Das ist gleichzeitig eine schrittweise Einführung in das gesamte Problem..

Testfall 1: WF=0% - gar keine Auswuchtung.
Mit einem Wuchtfaktor von 0% werden nur die rotierenden Unwuchten ausgeglichen. Der (mit aufrecht stehendem Zylinder gedachte) Motor erzeugt deshalb ziemlich unangenehme Massenkräfte in vertikaler Richtung, die vom Beschleunigen und Verzögern des hin- und hergehenden Kolbens herrühren.

Die erste Grafik zeigt die horizontale und die vertikale Kraftkomponente über dem Kurbelwinkel phi. In diesem Fall ist die horizontale Komponente ständig Null.

Der Gesamtbetrag der Unwuchtkraft   F_tot (berechnet als Wurzel(F_x^2+F_y^2)) ist durch die blau gepunktete Linie dargestellt.

Da so jedoch nur die Größe, nicht aber die Richtung der Kraft ablesbar ist, habe ich rechts noch ein Polardiagramm gezeichnet, in dem der Verlauf der Größe und Richtung der Kraft während einer KW-Umdrehung abzulesen ist. Man sieht hier, daß die Unwuchtkraft rein vertikal auf und ab geht. 

Testfall 1:
Einzylindermotor,
unendlich langes Pleuel (mehr dazu später),
Hub 85mm, translatorische Masse incl. Kolben 750 gr.,
Drehzahl 3000 rpm, Wuchtfaktor 0%


Testfall 2:
Alle Parameter sind die gleichen, außer dem Wuchtfaktor. Der wurde hier von 0% auf 100% hochgesetzt.
Wie zu erwarten, sind nun die translatorischen Massen voll ausgeglichen, d.h. wir haben keine vertikale Unwuchtkraft mehr. Allerdings erzeugen wir jetzt eine genauso große Unwuchtkraft in horizontaler Richtung, da ja unser Ausgleichsgewicht mit der Kurbelwelle kreisförmig umläuft und es keine Gegenkraft des Kolbens in horizontaler Richtung gibt.

Wir habe also nur unser Problem von der Vertikalen in die Horizontale verlagert...

 

Also müssen wir einen Kompromiß suchen, um den Gesamtbetrag der Unwuchtkraft so klein wie möglich zu halten.

Für einen Motor mit unendlich lang gedachtem Pleuel bedeutet dies einen Wuchtfaktor von 50%; das ist unser Testfall 3:

Die maximalen in beiden Richtungen auftretenden Kräfte sind nun halbiert. Beide Kräfte verlaufen sinusförmig über dem Kurbelwinkel, mit einem Phasenversatz von 90°. Das Endresultat, d.h. die vektorielle Summe der beiden, ist eine konstante Kraft von ca. 1600N die mit dem Kurbelwinkel umläuft.

Nun hat ein wirklicher Motor aber kein unendlich langes Pleuel. Normale Pleuellängen betragen ca. das 2- bis 3-fache des Hubs. Die endliche Pleuellänge bedeutet, daß der Kolben in Folge der während der Umdrehung veränderlichen Schiefstellung des Pleuels nicht mehr genau der Höhenlage des Kurbezapfens folgt: so steht der Kolben z.B. bei Kurbelwinkel 90° deutlich unterhalb der Mitte seines Hubweges.

Geometrisch aufgelöst bedeutet dies, daß der Cosinus-Funktion des Kolbenweges eine sin2-Funktion überlagert wird. Im Kraftdiagramm kommt deshalb eine Komponente hinzu, die sich mit dem doppelten Drehwinkel ändert.

Was das bewirkt, sieht man in den beiden Abbildungen rechts: Der gleiche Einzylinder mit 50% Auswuchtung, aber einer Pleuellänge von 7.75". Die Gesamtsumme der Unwuchtkraft ist nun nicht mehr konstant, und das Maximum ist von 1600N auf 2200N angewachsen.



Versucht man nun, den während einer Umdrehung auftretenden Spitzenwert der Unwuchtkraft zu minimieren, so kommt man zu einem Auswuchtfaktor von 58%, s. nebenstehende Grafiken. Das ist offenbar der optimale Wuchtfaktor für diese Pleuellänge. Interessanterweise tritt dieser Spitzenwert 3 mal während einer Umdrehung auf: Einmal nach oben gerichtet, und zwei mal schräg unten nach vorne und hinten.

Nun kann man natürlich drüber streiten, ob die Höhe dieser Spitzen (die bei 0, 100 und 260 Grad Kurbelwinkel auftreten) das wichtigste Kriterium für die beste Auswuchtung ist, oder ob man besser den Mittelwert der Unwuchtkraft über eine ganze Umdrehung betrachten sollte.

Ich habe deshalb nebenan den Spitzenwert F_peak der Unwuchtkraft, die mittlere Kraft F_mean, sowie die Amplitude der horizontalen und vertikalen Kräfte über dem Wuchtfaktor aufgetragen.

Man erkennt, daß der Spitzenwert bei WF=58% am geringsten ist, während die mittlere Kraft bei 54% WF am kleinsten ist. Zugegeben, letzteres ist in der Grafik schlecht zu sehen, aber man sieht's in den zu Grunde liegenden Zahlenwerten.

Was man aber auch erkennt, ist daß die mittlere Unwuchtkraft überhaupt nicht stark vom Wuchtfaktor abhängt. Sie ist für Wuchtfaktoren von 45% bis 65% nahezu konstant. Ich kann deshalb keinen vernünftigen Grund sehen, den Wuchtfaktor 54% zu verwenden, in Ansicht der hier viel höheren Spitzenwerte.

Meines Erachtens kann man also folgern, daß für einen Einzylinder mit einer Pleuellänge vom 2.32-fachen des Hubes (7.75"/85mm) ein Wuchtfaktor von 58% optimal ist.



Aber was passiert nun aber in einem  50° V-twin?

Um das zu untersuchen, braucht man nur das Modell um ein zweites Pleuel und einen zweiten Kolben zu erweitern, die auf  zwei gegenüber der Vertikalen um -25° und +25° geneigten Achsen laufen.

Bei 0% Wuchtfaktor und unendlich langem Pleuel finden wir eine maximale Unwuchtkraft von ca. 5200N, im Vergleich zu 3200N beim Einzylinder gleichen Zylindervolumens. Für einen Parallel-Zweizyinder würden wir den doppelten Wert finden, aber wir haben hier ja 50°  Zylinderwinkel: Da beide Kolben auch einen horizontalen Bewegungsanteil haben, erzeugen sie auch eine horizontale Unwuchtkraft, aber eine verringerte vertikale. Die Summe beider Kräfte ist hier nicht mehr konstant (wie beim Einzylinder), sie ändert sich mit der doppelten Drehfrequenz.

Wenn wir auf 100% Auswuchtung gehen wird, genau wie beim Einzylinder, die Sache wieder nur anders, aber nicht besser, siehe zweites Bild.

 



In dem realen 50°-Fall, mit der relativen Pleuellänge von 2.32 des KTO JAP Motors, erhält man die kleinste Spitzenkraft bei einem Wuchtfaktor von 53%, s. nebenstehende Grafiken.

Abgesehen davon muß man doch anerkennen daß sich der 50° V-twin ganz gut macht, mit einer maximalen Unwuchtkraft, die nur ca. das 1.4-fache derjenigen eines Einzylinders von gleichem Hub und gleicher Bohrung beträgt.

 

 

 

Wenn man auch hier wiederum die beiden Kriterien geringste Maximalkraft und geringste mittlere Kraft betrachtet,  ist kein guter Grund für ein anderes Wuchtverhältnis als 53% zu erkennen.

Also, zu Guter letzt meine Frage:

Sieht einer von Euch erfahrenen Motorenbauern da draußen irgendeinen vernünftigen Grund, einen anderen Wuchtfaktor als 53% für einen KTO JAP Motor zu verwenden?

Wenn ja, würde ich mich über eine Nachricht freuen - ich würde dieses Problem wirklich gerne lösen, bevor ich meine Hubscheiben anfertige!

Meine e-mail Adresse ist

Auch hier nochmal: sorry dass ich kein Hyperlink zum Anklicken angebe, aber ich möchten nicht noch mehr search robots meine Adresse zu lesen geben. Ich kann schon jetzt kaum noch die paar ernstgemeinten e-mails zwischen all dem Spam finden...also bitte Adresse abtippen!

 



   

Als Nachtrag noch ein kleiner Exkurs:

In der nebenstehenden Grafik sind die Unwuchtkräfte eines 90° V-twins mit unendlich langen Pleueln und 50% Wuchtfaktor aufgetragen: ES GIBT KEINE!!

 

 

 

 

Ok, das ist nur ein theoretischer Fall, aber wenn ich die realen Kolben und Pleuel meines KTO Motors verwende, sieht es immer noch sehr gut aus, s. zweites Bild:

Man erkennt die oft kritisierten hochfrequenten horizontalen Unwuchtkräfte, aber schaut euch mal den Betrag an: nur knappe 1000N!

Vielleicht sollte ich auf eine  Moto Guzzi umsteigen?
Ich denke jedoch, diese Unwuchtkräfte wären noch weniger störend, wenn der Motor aufrecht montiert wäre, mit um 45° nach vorne und hinten geneigten Zylindern. Das gab's sogar mal bei Brough Superior, als experimentellen Prototypen kurz nach dem Krieg!

 



Also: wenn ich meine SS100 irgendwann mal fertig haben sollte und mir langweilig werden sollte, werde ich versuchen, dieses Motorrad nachzubauen!

 

Any kind of feedback to is appreciated
(sorry, this is not a clickable 'mailto:' hyperlink. If you want to write me, please type my address in your mailer. )

Back to HOME page - Back to SS100 Replica Project main page